



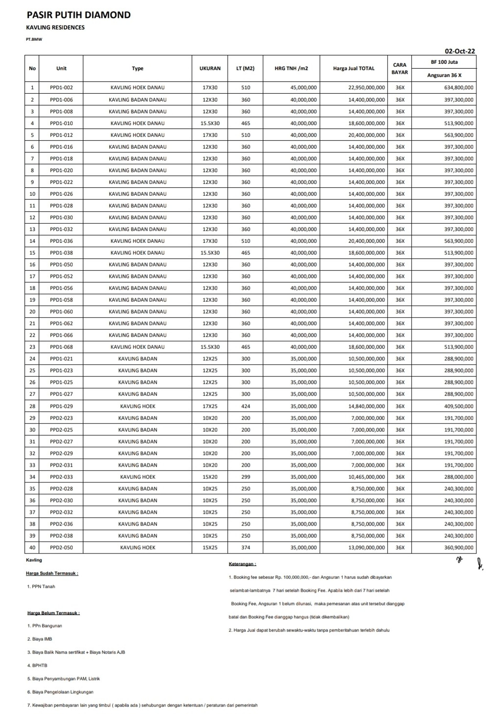
“Cluster kavling residential” yang disebut sebagai bagian dari “Pasir Putih Residences” – yang artinya Anda membeli kavling (tanah) untuk kemudian membangun rumah sesuai regulasi cluster.
Tipe kavling yang disebut misalnya: 10×20 m (200m²), 10×25 m (250 m²), 12×25 m (300 m²), dan 12×30 m (360 m²) yang dekat danau.
Fitur yang disebut: akses mudah ke danau, view danau, kawasan hijau dan fasilitas lingkungan.



Fasilitas & Keunggulan
Kawasan terintegrasi: memiliki danau besar, pedestrian/jogging track, kawasan hijau, club house, akses ke fasilitas komersial dan bisnis di PIK 2.
Aksesibilitas: dekat tol/interchange, dekat mangrove boardwalk, dekat ke area laut/pantai.







